含有Cr2O3的耐火材料具有良好的高溫抗侵蝕性能,在目前發現的所有的耐火材料的氧化物添加劑中,Cr2O3可以說是其中性能最優越的之一。Cr2O3抗浸蝕性能優越的主要原因為:
(1)Cr2O3能夠和耐火材料中一些主要的氧化物相互固溶,形成高熔點低共熔點的固溶體。
如表1所示,其形成的固溶體的熔點幾乎都在2000℃左右,因此三氧化二鉻成為了耐火材料的重要原料以及添加劑;
表1 Cr2O3與一些耐火材料常用氧化物形成的二元系
(2)耐火澆注料與高溫熔體相互作用而損毀的主要原因可以歸納為:
機械作用、爐渣化學侵蝕以及熱應力作用,通常情況下耐火材料的損毀是三者綜合作用的結果。機械作用主要是指耐火材料受到爐料、高溫熔體和高溫氣流的沖刷與磨損;化學侵蝕則是指由化學反應引起的破壞,耐火材料在服役的過程中會與接觸的爐渣、熔體、煙氣與粉塵等物質時發生物理化學反應從而導致其結構遭到破壞,其主要的過程為液相的溶解與滲透,主要的表現形式為滲透、渣蝕和溶蝕。
Cr2O3能夠降低熔渣對耐火材料的潤濕性,使熔渣對耐火材料的浸蝕降低,同時還能降低其對耐火材料的滲透作用。研究了61.5%SiO2-17.8%Al2O3-20.7%MgO渣分別在鎂質耐火材料和鎂質含鉻耐火材料的接觸角,發現在1370℃保溫2小時后,熔渣在含鉻耐火材料上的接觸角較大,說明熔渣對其的潤濕性差。
熔渣對耐火材料的侵蝕主要是通過滲透作用進入到耐火材料中形成侵蝕層,當溫度發生激烈的變化時,侵蝕層中的礦物生產膨脹而產生結構應力,導致材料的內部形成裂紋,致使耐火材料出現結構性剝落。當在耐火材料中添加一定量Cr2O3時,能夠有效的降低熔渣在耐火材料中的滲透作用,即使是滲透能力極強的含S和O的煉銅渣也能夠起到同樣的作用,從而減少因此導致的結構剝落。
當耐火材料中含有Cr2O3時其會與熔渣相互滲透,Cr2O3進入熔渣后會影響熔渣的粘度。研究了硅酸鹽渣的粘度與Cr2O3含量的關系,表明Cr2O3不僅在硅鹽酸渣中的溶解度較低,而且還會顯著的增加熔渣粘度,降低熔渣的流動性,因此能夠減少渣對耐火材料的侵蝕作用。熔渣粘度的增加能減緩其對耐火材料的滲透作用,減少在耐火材料中形成滲透層,從而能夠降低耐火材料的結構性剝落。所以含鉻耐火材料在有色冶金、鋼鐵冶金、水煤漿氣化爐及玻璃行業中廣泛的應用。在所有的堿性耐火材料中,含鉻耐火材料被視為性能最佳的耐火材料。
在鋼鐵行業中,很多的部位都可以使用無鉻的環境友好型耐火材料,但是有些地方的耐火材料因為受到鋼液以及熔渣的嚴重侵蝕或者需要承受劇烈的溫度變化和環境氣氛變化,例如爐外精煉爐,普通的耐火材料難于抵抗鋼鐵沖刷和氣氛的變化。
在水煤漿氣化爐中,雖然氮化硅、碳化硅和氧氮化硅材料對多數的硅酸鹽溶體具有良好的相容性和化學惰性,但是由于其工作環境為強還原性氣氛,使其變地不穩定且易分解。此外這些材料容易與煤熔渣中的氧化亞鐵反應破壞材料的原始組分和結構。所以,碳化物或者氮化物一般不用作水煤漿氣化爐的爐襯材料。
在有色冶金熔煉爐中,與傳統的煉鋼爐相比,有色金屬熔煉爐有著更高的氧分壓。雖然鎂碳耐火材料在轉爐中表現出了良好的使用性能,但是因為有色冶金熔煉爐有著較高的氧分壓,鎂碳耐火材料易被氧化而損壞。相比之下含鉻耐火材料因為具有良好的抗渣性能,高溫強度高等特點,是目前有色金屬熔煉爐較為理想的耐火材料。
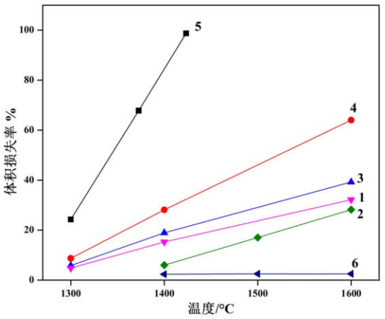
圖2 不同耐火材料在不同溫度下的抗侵蝕性能
(1-石英;2-鋯石英;3-AZS;4-剛玉;5-粘土磚;6-致密氧化鉻磚)
在生產玻璃的池窯中,熔融玻璃所含的B2O3對耐火材料有著非常強的侵蝕能力,而結構致密的氧化鉻磚對硼酸鹽玻璃熔液有著非常好的抗侵蝕能力,其侵蝕的速度是其它系耐火材料的十分一到百分之一。同時致密的氧化鉻磚開口氣孔率低、比表面積小、強度高,可有效的抑制氧化鉻的揮發、玻璃渣的滲透和沖刷侵蝕。圖2為不同材質的耐火材料與無堿玻璃熔渣的抗侵蝕檢測結果,可以看出僅致密氧化鉻磚在1400-1600℃的高溫條件下基本沒有體積損失,其它材質的耐火材料均隨著溫度的升高有不同程度的損失。





